This method can be used to detect clustering of labeled objects in space, time, and space-time. The test statistic is the count of the number of pairs of labeled objects that are adjacent to one another. The objects can be locations of cases and controls or areas, and adjacency criteria are determined to reflect the kind of clustering under investigation. The objects also possess borders, and an adjacency is said to exist when two objects share a common border. Grimson’s test is sensitive to a high number of adjacencies among labeled cells.
Data Requirements
Labeled subset of data as high risk
Average number of borders per item
Variance in the number of borders per item
Number of pairs of labeled objects that are adjacent
Analysis
Ho: The objects have been labeled at random
Ha: High risk items tend to be adjacent
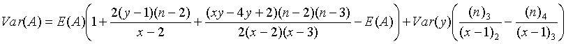
Under this hypothesis the number of adjacencies among the labeled cells is expected to be:

Here x is the total number of items (both labeled and not labeled), n is the number of labeled items, and y is the average number of borders per item. When high-risk items cluster there will be an excess of adjacencies and the test statistic will be large.
Output
E(A)
Var(A)
z-score
Significance of A as a one-tailed test using the Poisson or the standard normal distribution
Graph of significance of A against the value of A under both Poisson and normal approaches
Reference
Jacquez, G.M. 1994, User manual for Stat!: Statistical software for the clustering of health events, BioMedware, Ann Arbor, MI.