modules next up previous
Next: The Behavior of a Up: COMPARTMENTAL SYSTEMS AND COMPARTMENTAL Previous: What is a Compartment?

Compartmental Systems

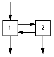
A compartmental system is a group of compartments that are connected by arrows. A simple example is shown in Figure 2.


Figure 2

Notice that there are 3 kinds of arrows. The arrows that start at one compartment and end at another represent the flow of material from the starting to the end compartment. There are also arrows that start outside the system and end on a compartment; these represent a flow from outside of the system into a particular compartment. Finally, arrows that start in a compartment and end outside the system represent flows from the compartment of origin out of the system. The system diagram represents all of the flows into or out of a system as well as the flows within the system; as such it is called a connectivity diagram for the system.



Andrew E Long
Wed Oct 27 23:58:42 EDT 1999