Biology Project Banner Biology Project link Biomath Link

The Biology Project > Biomath > Function > Operations

Functions

Operations on Functions

In this section we will learn what it means to add, subtract, multiply, and divide two functions. Learning these operations is important because almost any function you encounter is the sum, difference, product, or quotient (or any combination of these operations) of simpler functions. You will also learn to find the domain and range of these functions.

The Sum of Two Functions

Suppose we have two functions, f(x) and g(x). We can define the sum of these two functions by,

(f + g)(x) = f(x) + g(x),

where x is in the domain of both f and g.

For example, we can add the functions f(x) = x2− 1 and g(x) = 2x3 + 3 as,

(f + g)(x) = f(x) + g(x)

= x2− 1 + 2x3 + 3

= 2x3 + x2 + 2.

The domain of (f + g)(x) consists of all x-values that are in the domain of both f and g. In this example, f and g both have domain consisting of all real numbers, therefore (f + g)(x) also has domain consisting of all real numbers.

The Difference of Two Functions

Suppose we have two functions, f(x) and g(x). We can define the difference of these two functions by,

(fg)(x) = f(x) − g(x),

where x is in the domain of both f and g.

For example, we can subtract the functions f(x) = √x and g(x) = x − 8 as,

equation: (f-g)(x) = f(x) -g(x) = (square root x) - (x-8) = (square root x) - x + 8

The domain of the (fg)(x) consists of all x-values that are in the domain of both f and g. In this case, f has domain {x | x ≥ 0}, and g has domain all real numbers, therefore (fg)(x) has domain {x | x ≥ 0}, because these values of x are in the domain of both f and g.

The Product of Two Functions

Suppose we have two functions, f(x) and g(x). We can define the product of these two functions by,

(f · g)(x) = f(x) · g(x),

where x is in the domain of both f and g.

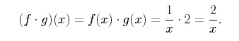
For example, we can multiply the functions f(x) = 1/ x and g(x) = 2 as,

equation:  (f * g)(x) = f(x) * g(x) = 1/x * 2 = 2/x.

The domain of the (f ·g)(x) consists of all x-values that are in the domain of both f and g. In this example, f has domain {x | x ≠ 0}, and g has domain all real numbers, therefore (f · g)(x) has domain {x | x ≠ 0}, because these values of x are in the domain of both f and g.

The Quotient of Two Functions

Suppose we have two functions, f(x) and g(x). We can define the quotient of these two functions by,

(f/g)(x) = f(x)/g(x), provided g(x) does not equal 0,

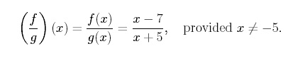
where x is in the domain of both f and g. It is important to specifyg(x) ≠ 0 because we cannot divide by zero. For example, we can divide the functions f(x) = x − 7 and g(x) = x + 5 as,

equation:  (f/g)(x)= f(x)/g(x)= (x-7)/(x+5), provided x does not equal -5

The domain of (f/g) (x) consists of all x-values that are in the domain of both f and g, where g(x) ≠ 0. Both f and g have domain all real numbers, but g(x) = 0 when x = −5. Thus, the domain of (f/g) (x) is {x | x ≠ −5}.

*****

In the next section we learn how to take the composition of two functions.

Composition

The Biology Project > Biomath > Function > Operations


The Biology Project
Department of Biochemistry and Molecular Biophysics
The University of Arizona

January 2006
Contact the Development Team

http://www.biology.arizona.edu
All contents copyright © 2006. All rights reserved.

Biochemistry